近日,在门诊部一楼,一站式服务中心迎来了一位60岁的阿姨,她来自贵州省荔波县,她在门诊意见登记本上写下了对李梅护士的表扬及感谢。
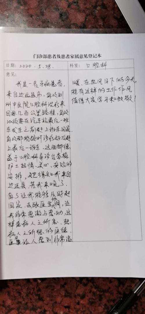
原来柏阿姨家住荔波县,连续半个多月以来,因口腔疾病,陆续往返荔波县和我院口腔中心进行治疗。28日这天柏阿姨因为到达医院已经很晚了,看见口腔中心排队治疗的人也比较多,她害怕因为治疗晚了赶不上回荔波的长途客车所以非常着急。门诊部护士李梅得知情况后,积极与口腔中心的医生沟通与协调,最终让柏阿姨安心的就诊并赶上回家的最后一班车。
其实这只是一件很小的事情,对于李梅护士来说这是她的职责也是她应该做的,但是就这样一个小小的举动却温暖了柏阿姨的心。门诊部护士李梅,今年54岁,已快到退休年纪,作为一名在黔南州中医院工作几十年的员工,一直认真负责,在工作中,耐心,细心,热心的为每一位患者解决问题,做好每一位患者的分诊工作,急病人之所急,想病人之所想,解决病人之所需,达到病人之所愿,在平凡的岗位上奉献了自己的光和热。
这样的事情只是我们中医院全体护士的一个缩影,长期以来门诊部的护士为忙碌就诊的宝妈当“临时妈妈”;为步履蹒跚的老人就诊陪护;为突发情况的患者开通绿色通道……一直以来,医院改善医疗服务行动从未停歇,致力于温馨医疗服务模式,不断增强患者的就医获得感,这些点滴改变都让患者们看在眼里,记在心里。
在医院像李梅这样的导诊护士还有很多,她们穿着朴素的制服,却有着与众不同的美,她们带着暖心的笑容迎接了每一位来院的患者,她们尽心竭力对待患者,履行着“白衣天使”的职责。

